РЕПАРАЦИЯ ТКАНЕЙ отзывы - развод или правда? - отзыв

Репарация тканей отзывы
  • Репарация тканей -  - Фото 755827
  • Репарация тканей -  - Фото 755826
  • Репарация тканей -  - Фото 755825
+2
-0
Цена: - руб.
Средняя оценка: 4.5 из 5
Рекомендуют: 100%
Сайт:
Бренд: нет

Суть продукта, обзор характеристики:

Обзор: РЕПАРАЦИЯ ТКАНЕЙ отзывы - развод или правда? процесс клеток днк

Интересные данные. РЕПАРАЦИЯ ТКАНЕЙ отзывы - развод или правда?

Какие же существуют основные подвиды данного процесса?

Что же такое репарация тканей? Чем характеризуется данный процесс?

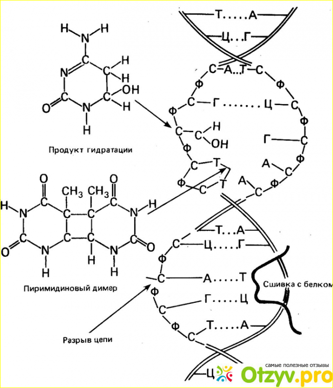
Слово "репарация" из латинского языка переводится как слово "восстановление". Данный процесс характеризует собой особенную возможность (функцию) клеток организма, которая влияет на способность изменять, исправлять различные повреждения химического типа, а также разнообразных разрывов в молекулах ДНК организма, которые были изменены, а также повреждены из-за того, что при нормальном биологическом синтезе ДНК на них влияли какие-либо химические или же, те же физические реагенты. Данные процесс генерируется с помощью специальных, особенных ферментных систем клеточек.

Огромное количество разнообразных заболеваний, которые являются наследственными, имеют прямую связь с нарушениями в процессе системы репарации.

Какие факторы могут пагубно влиять на клетки ДНК человека и животного?

Немного об истории открытия данного понятия.

Можно сказать, что первые исследования, которые касались процесса репарации тканей начались еще в одна тысяча девятьсот сорок восьмом году. Они были представлены множественными работами исследователя по имени - Альберт Кельнер. Данный исследователь родом из Соединенных Штатов Америки, именно там он и занимался научной деятельностью долгое время, что и дало ему возможность сделать данное открытие. Именно данный ученый смог открыть такое явление как - фотореактивация. Фотореактивация представляет собой процесс уменьшения повреждения различных биологических объектов, которые могут быть вызваны, в первую очередь, ультрафиолетовыми лучами, при следующем воздействии световой репарацией, собственно говоря, ярчайшим светом, которого видно.

Также, изучением данного вопроса занимались и другие ученые, фамилии которых м можем привести в нашей статье - это Руперт и Сетлоу. Страна происхождения данных исследователей - Соединенные Штаты Америки, также и предыдущий ученый, они занимались изучением данного процесса именно в США.

Эти два исследователя в скором времени установили тот факт, что процесс фотореактивации должен включать в себя специальный фермент, с помощью которого можно будет расщеплять вещества, которые будут находится в клетке ДНК, когда происходит поглощение ультрафиолетового кванта.

Далее, прошло немного времени и ученые задались целью изучать степень контроля на генетическом уровне, тем бактерий, которые являются чувствительными к ультрафиолетовому излучению, а также к ионизирующему изучению. После проведения ряда специальных опытов и мероприятий, направленных на изучение данного явления и его свойств было обнаружено явление как называемой "Темновой репарации". В этой связи стоит упомянуть и о том, что же по сути, представляет собой темновая репарация?! Данная реакция представляет собой специальное свойство клеточек уничтожать, попросту ликвидировать то, что повреждено в клетке ДНК без надобности участия в данном процессе видимого ярчайшего света, ярких световых лучей.

Позже, изучением данного вопроса стал заниматься и выдающийся ученый, фамилия которого - Говард - Фландерсом. Он занимался изучением, уже непосредственно механизмом темновой репарации в подробностях, а также, подробным изучением тех бактериальных клеток, которые облучены ультрафиолетовым светом. А уже в одна тысяча шестьдесят четвертом году все это было подтверждено на основании проведенных опытов другими учеными, а именно исследователями по фамилии Ханавальтом и Петиджонсом. Они, также родом из Соединенных Штатов Америки. Поэтому, с уверенностью можно заявить, что именно Америка стала основополагающей страной в данной области изучения вышеупомянутых явлений. Двое вышеупомянутых ученых заявили и смогли доказать тот факт, что после процесс облучения, бактерии не имеют никаких поврежденных участков в клетке ДНК, все поврежденные участки являются попросту вырезанными. Кроме того, претерпевают изменения и также соединения как нуклеотиды, а также ресинтез клетки ДНК в тех пробелах, что оказались вдруг образованы вследствии воздействия на поврежденный участок клетки специальным ультрафиолетовым излучением.

Позже, было также доказано и то, что процессы репарации возможны не только у разнообразных микроорганизмов, но и в клеточках как человека, так и животного. Именно, у человека и животного они изучаются со стороны культуры тканей. Например, ученые исследуют наследственные кожные нарушения у человека, которые характеризуются возникновением пигментов, именно первопричиной данного нарушения и является нарушенный процесс репарации.

Именно в две тысячи пятнадцатом году были проведены исследования и опыты на тему полнейшего изучения метода репарации клеток ДНК, за которые Нобелевскую премию получили такие исследователи, ученые, весьма образованные и просвещенные в данной сфере люди, имена и фамилии которых, следующие: это Пол Модрич, Томас Линдаль, а также, известный ученый - Азиз Шанкар.

Немного об истории открытия данного понятия.

Какие факторы могут пагубно влиять на клетки ДНК человека и животного?

Изучением данного вопроса, как вы можете догадаться, занимались множество ученых. Ведь, поиск первопричины - это основа. Итак, проведя опыты и наблюдая, ученые пришли к выводу, что такими факторами являются:

- всевозможные сильнодействующие химические вещества.

- ошибки в процессе репликации клеточек ДНК.

- нарушение следующего характера - когда аминогруппы отклеиваются от самого азотистого основания.

Какие же существуют основные подвиды данного процесса?

Первый вид - это так называемая, прямая репарация. Именно этот вид считается самым простым в устранении любого нарушения в клетке ДНК. В данном случае, задействованными являются некоторые специальные ферменты, которые имеют возможность быстро убрать данное нарушение, кроме того они имеют возможность оказывать поддержку и восстанавливать былую структуру таких соединений как, собственно говоря, нуклеотиды.

Эксцизионная репарация - это второй вид. Данное название в переводе с английского языка означает слово - "вырезание". Данный процесс попросту включает в себя возможность удалить, убрать нарушенные азотистые основы из клеточки ДНК, вследствии чего, потом и вся структура данной молекулы станет и будет оставаться, по прежнему нормальной касательно именно комплементарной цепи. Собственно говоря, этот способ считается не самым простым в отличии от вышеупомянутого способа, одна он же считается самым распространенным и наиболее часто применяемым в работе с поврежденными участками клетки ДНК, так называемыми модифицированными основаниями упомянутых выше клеток.

Еще существует и третий вид, который носит название - постредупликиативная репарация. Этот вид применяют, в основном только в тех случаях, когда предыдущий тип (вид) не справился с поставленной задачей. Собственно говоря, данный метод актуален в случае неполного исправления поражения, которое возникло. Данный метод не является столь распространенным и простым в выполнении, как два вышеупомянутых, однако, он также используется в завершении процесса и для сглаживания и исправления некоторых незаконченных моментов для достижения наилучших результатов на практике.

Достоинства: удаление дефектов днк
Недостатки: -

Видео обзор

Все(1)
Репарация тканей    

РКН: сайт youtube.com нарушает закон РФ

Время использования: 1 дней
Стоимость: - руб.
Год выпуска/покупки: 2018
Общее впечатление: Интересные данные
Моя оценка:
5
Рекомендую друзьям: Да
Тэги: нет, днк, а р, х р, го он, в клетке, а у, путь к




Комментарии на отзыв:

Добавить комментарий

Обязательно
Обязательно
Обязательно